Στη Βουλή κατατέθηκε τη Δευτέρα, το σχέδιο νόμου του υπουργείου Εθνικής Άμυνας με τίτλο: "Χάρτης Μετάβασης των Ενόπλων Δυνάμεων στη Νέα Εποχή (σταδιοδρομία και εξέλιξη αξιωματικών, μονίμων υπαξιωματικών και Επαγγελματιών Οπλιτών των Ενόπλων Δυνάμεων, μισθολογικές ρυθμίσεις για το στρατιωτικό προσωπικό των Ενόπλων Δυνάμεων, αναδιοργάνωση ακαδημαϊκής εκπαίδευσης των Ενόπλων Δυνάμεων, στρατολογία των Ελλήνων, εθελοντική στράτευση γυναικών και άλλες διατάξεις)".
Όπως ανακοινώθηκε, το σχέδιο νόμου, το οποίο συμπληρώνει τη δέσμη πολιτικών που υλοποιούνται στο πλαίσιο της "Ατζέντας 2030", είχε παρουσιαστεί από τον υπουργό Εθνικής Άμυνας, Νίκο Δένδια και είχε εγκριθεί από το υπουργικό συμβούλιο, το οποίο συνεδρίασε υπό τον πρωθυπουργό Κυριάκο Μητσοτάκη, στις 30 Σεπτεμβρίου 2025.
Σκοπός του σχεδίου νόμου είναι:
α) ο εξορθολογισμός και η βελτίωση του πλαισίου σταδιοδρομίας των στελεχών των Ενόπλων Δυνάμεων και η ενίσχυση της αξιοκρατίας στην εξέλιξή τους,
β) η εισαγωγή νέων μισθολογικών ρυθμίσεων για τα στελέχη των Ενόπλων Δυνάμεων,

γ) ο εκσυγχρονισμός και η ενοποίηση των ρυθμίσεων για την κατάσταση των στελεχών,
δ) η αναβάθμιση της λειτουργίας των στρατιωτικών σχολών των Ενόπλων Δυνάμεων,
ε) η παροχή ολοκληρωμένης εκπαίδευσης στους οπλίτες για τη βέλτιστη δυνατότητα υπεράσπισης της πατρίδας, την παροχή πιστοποιημένης επιμόρφωσης για τη διασύνδεση με την αγορά εργασίας, καθώς και την αύξηση της στελέχωσης των υπηρεσιών των Ενόπλων Δυνάμεων και ειδικότερα αυτών που εδρεύουν σε παραμεθόριες περιοχές και
στ) η αύξηση της επιχειρησιακής ετοιμότητας των εφέδρων.

Αντικείμενο του σχεδίου νόμου είναι:
α) η θεσμοθέτηση οργανικών θέσεων των αξιωματικών των Ενόπλων Δυνάμεων κατά κλάδο των Ενόπλων Δυνάμεων, προέλευση, βαθμό και κατηγορία,
β) η αναδιαμόρφωση της συγκρότησης των Συμβουλίων Κρίσεων των αξιωματικών,
γ) η αναδιαμόρφωση των προϋποθέσεων παραμονής των αξιωματικών ανά βαθμό,
δ) η θέσπιση νέων βαθμών των μόνιμων υπαξιωματικών των Κλάδων και των Κοινών Σωμάτων των Ενόπλων Δυνάμεων
ε) η διενέργεια προαγωγών αποκλειστικά για κάλυψη κενών οργανικών θέσεων ανωτέρων βαθμών,
στ) η θέσπιση νέων βαθμών των Επαγγελματιών Οπλιτών (ΕΠΟΠ) ως Υπαξιωματικών Ειδικής Προέλευσης (ΥΕΠ),
ζ) η ρύθμιση των προϋποθέσεων και της διαδικασίας μετάταξης των μόνιμων Υπαξιωματικών, αποφοίτων των Ανωτάτων Σχολών Μόνιμων Υπαξιωματικών (ΑΣΜΥ), στο σώμα αξιωματικών,
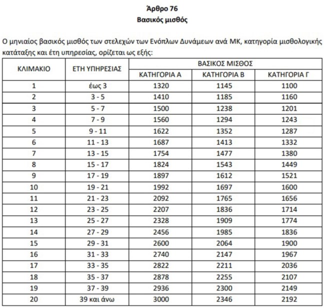
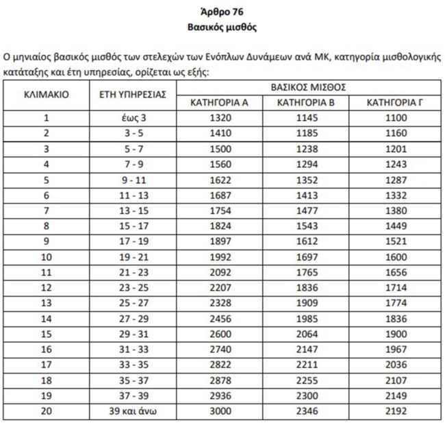
η) η αναδιάρθρωση των βασικών μισθών και των μισθολογικών κλιμακίων των στελεχών των Ενόπλων Δυνάμεων, τα οποία συνδέονται με τα έτη υπηρεσίας και την κατηγορία προέλευσης,
θ) η δημιουργία μισθολογικών βαθμίδων ανά κατηγορία προέλευσης, στις οποίες αποτυπώνεται η σταδιακή μισθολογική τους εξέλιξη σύμφωνα με τους νέους βαθμούς,
ι) η ενιαία ρύθμιση των ζητημάτων που αφορούν στις καταστάσεις των αξιωματικών και μόνιμων υπαξιωματικών και ο σαφής διαχωρισμός των καταστάσεων σε κύριες και πρόσθετες,
ια) η σύσταση της Διακλαδικής Διοίκησης Ακαδημαϊκής Εκπαίδευσης (ΔΙΔΑΕ), ο καθορισμός των αρμοδιοτήτων και των οργάνων της,
ιβ) η σύμπραξη της Σχολής Εθνικής Άμυνας (ΣΕΘΑ) και της Ανώτατης Διακλαδικής Σχολής Πολέμου (ΑΔΙΣΠΟ) με τα Ανώτατα Εκπαιδευτικά Ιδρύματα (ΑΕΙ) και τα Ανώτατα Στρατιωτικά Εκπαιδευτικά Ιδρύματα (ΑΣΕΙ) για την εκπόνηση Προγραμμάτων Μεταπτυχιακών Σπουδών (ΠΜΣ),
ιγ) η ρύθμιση ζητημάτων που αφορούν στην υποχρέωση στράτευσης,
ιδ) η αναμόρφωση της στρατολογικής νομοθεσίας και ιδίως των ρυθμίσεων που αφορούν στη χορήγηση αναβολής σε σπουδαστές δευτεροβάθμιας ή τριτοβάθμιας εκπαίδευσης, στη χορήγηση αναβολής σε μόνιμους κατοίκους εξωτερικού και στην κρίση της δυνατότητας στράτευσης όσων πάσχουν από ψυχικές παθήσεις,
ιε) ο καθορισμός του πλαισίου εκπαίδευσης των οπλιτών,
ιστ) ο καθορισμός διαδικασίας για την επιμόρφωση των οπλιτών στα Κέντρα Διά Βίου Μάθησης (ΚΔΒΜ) των Ενόπλων Δυνάμεων,
ιζ) ο καθορισμός πλαισίου για τις τοποθετήσεις και μεταθέσεις των οπλιτών,
ιη) η ρύθμιση θεμάτων μετεκπαίδευσης εφεδρείας και η θέσπιση του θεσμού του ενεργού εθελοντή έφεδρου,
ιθ) η θεσμοθέτηση εθελοντικής στράτευσης γυναικών,
κ) η παροχή κινήτρου σε ανυπότακτους για κατάταξη στις Ένοπλες Δυνάμεις έως την 31η Δεκεμβρίου 2027,
κα) η ρύθμιση θεμάτων υγειονομικής εξέτασης και απόλυσης των ΕΠΟΠ και
κβ) η ρύθμιση θεμάτων που αφορούν στη Στρατιωτική Δικαιοσύνη.
Οι πιο πρόσφατες Ειδήσεις
Διαβάστε πρώτοι τις Ειδήσεις για ό,τι συμβαίνει τώρα στην Ελλάδα και τον Κόσμο στο thetoc.gr

