Λίγες ώρες απομένουν για την κοινοβουλευτική διαδικασία της Τετάρτης 18 Ιουνίου με τις τρεις, υπό συζήτηση, προτάσεις για σύσταση προανακριτικής επιτροπής.
Τα κόμματα έχουν αρχίσει να λαμβάνουν τα ψηφοδέλτια ώστε οι βουλευτές να έχουν εικόνα για να μην δημιουργηθεί σύγχυση, καθώς για πρώτη φορά θα στηθούν 14 κάλπες.
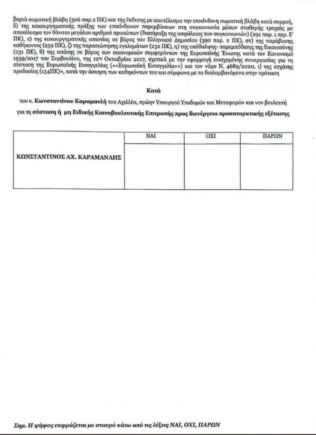
Σε κάθε ψηφοδέλτιο αναγράφεται το όνομα του πολιτικού προσώπου και οι προτάσεις στις οποίες κατονομάζεται. Για παράδειγμα στο ψηφοδέλτιο για τον Κώστα Καραμανλή, περιλαμβάνονται και οι τρεις προτάσεις, του ΠΑΣΟΚ, της ΝΔ και των συγγενών των θυμάτων της τραγωδίας που κατατέθηκε με τις υπογραφές των βουλευτών της Ελληνικής Λύσης, της Νίκης, της Πλεύσης Ελευθερίας και των ανεξάρτητων που πρόσκεινται στο Κίνημα Δημοκρατίας.
Στο ψηφοδέλτιο για τον Χρήστο Σπίρτζη αναγράφεται η πρόταση του ΠΑΣΟΚ και εκείνη που καταθέσαν τα τρία κόμματα με τους ανεξάρτητους του Στέφανου Κασσελάκη, ενώ για τον πρωθυπουργό μόνο η τρίτη πρόταση, αυτή των συγγενών της τραγωδίας.
Όπως συμφωνήθηκε στην έκτακτη διάσκεψη των προέδρων της Βουλής, η συζήτηση θα ξεκινήσει στις 9.00 το πρωί και θα ολοκληρωθεί στις 9.00 το βράδυ και αμέσως μετά θα ξεκινήσει η ονομαστική μυστική ψηφοφορία η οποία υπολογίζεται ότι θα διαρκέσει τέσσερις ώρες.
Η ψηφοφορία θα γίνει επί των προτάσεων των κομμάτων και όχι ανά αδίκημα, όπως πρότειναν στην Διάσκεψη ΣΥΡΙΖΑ, ΚΚΕ, Νέα Αριστερά και Πλεύση Ελευθερίας καθώς το αίτημα τους απορρίφθηκε με 18 ψήφους κατά έναντι 8 υπέρ, με τον πρόεδρο της Βουλής, Νικήτα Κακλαμάνη, να σημειώνει ότι αυτό δεν έχει συμβεί τα τελευταία 50 χρόνια.
Αξίζει να σημειωθεί ότι συνολικά έχουν τυπωθεί περίπου 4.200 ψηφοδέλτια για τα 14 πρόσωπα, ενώ αντίστοιχος είναι ο αριθμός για τα λευκά. Εάν συνυπολογίσουμε και τα συνοδευτικά έγγραφα που περιλαμβάνουν τον πίνακα που δείχνει ποια κάλπη αντιστοιχεί σε κάθε πρόσωπο, ο αριθμός των σελίδων που έχουν τυπωθεί ανεβαίνει σε πάνω από 10.000.



Ποιους αφορούν οι 14 κάλπες
Οι 14 κάλπες θα στηθούν με βάση τη σειρά κατάθεσης των προτάσεων. Η πρώτη κάλπη θα αφορά τον Κώστα Καραμανλή, η δεύτερη τον Χρήστο Σπίρτζη, η τρίτη τον Μιχάλη Παπαδόπουλο, η τέταρτη τον Γιάννη Κεφαλογιάννη, η πέμπτη τον Γιώργο Καραγιάννη, η έκτη την Μαρίνα Χρυσοβελώνη, η έβδομη τον Νίκο Μαυραγάνη, η όγδοη τον Θανάση Μωραΐτη. Η ένατη κάλπη θα αφορά τον Κυριάκο Μητσοτάκη, η δέκατη τον Γιώργο Γεραπετρίτη, η ενδέκατη τον Γιώργο Τσακίρη, η δωδέκατη Ζώη Ράπτη, η δέκατη τρίτη τον Θάνο Πλεύρη και η δέκατη τέταρτη τον Νίκο Παπαθανάση.
Υπενθυμίζεται ότι από το πρωί της Τετάρτης στην αίθουσα της Ολομέλειας τοποθετήθηκαν οι 14 κάλπες, μια για κάθε πρόσωπο για το οποίο ζητείται η παραπομπή σε προανακριτική εξέταση ενώ οι εργαζόμενοι του τυπογραφείου έχουν ήδη εκτυπώσει πάνω από 12.000 ψηφοδέλτια. Η ψηφοφορία επί των τριών προτάσεων θα ξεκινήσει μετά τις 9 το βράδυ της Τετάρτης, με το αποτέλεσμα να αναμένεται τις πρώτες πρωινές ώρες της Πέμπτης.
Οι πιο πρόσφατες Ειδήσεις
Διαβάστε πρώτοι τις Ειδήσεις για ό,τι συμβαίνει τώρα στην Ελλάδα και τον Κόσμο στο thetoc.gr
