Ενοικίαση επιπλωμένου ακινήτου ακόμη με… 19 ευρώ το τετραγωνικό;
Και όμως. Στην περιοχή της Άνω Κυψέλης, διαμέρισμα που κατασκευάστηκε το 1972 ενοικιάζεται προς 350€ το μήνα. Το γεγονός ότι η επιφάνεια του είναι μόλις 18 τετραγωνικά, ανεβάζει τη ζητούμενη τιμή ενοικίασης στα 19,40€ ανά τετραγωνικό.
Είναι η… εξαίρεση; Είναι μια ακόμη ένδειξη των συνθηκών που επικρατούν στην αγορά ακινήτων.
Όσο λιγότερα είναι τα τετραγωνικά μιας αυτόνομης κατοικίας (σ.σ μεγάλο πράγμα η αυτονομία και ας μπαίνουμε στην εποχή της… συγκατοίκησης λόγω υψηλού κόστους) όσο καλύτερα εξοπλισμένο είναι το ακίνητο και όσο λιγότερα είναι τα διαθέσιμα διαμερίσματα στην περιοχή (σ.σ καθοριστικό ρόλο παίζουν και άλλοι παράγοντες όπως είναι η εγγύτητα στην σχολή, στα μέσα μαζικής μεταφοράς και ειδικά στο μετρό) τόσο υψηλότερα ανεβαίνει η ζητούμενη τιμή ανά τετραγωνικό.
Γεγονός είναι ότι ειδικά στο λεκανοπέδιο, δεν υπάρχουν πλέον πολλά διαθέσιμα μικρά ακίνητα καθώς η εκρηκτική αύξηση της ζήτησης για βραχυχρόνιες μισθώσεις έχει περιορίσει ακόμη περισσότερο τον αριθμό των προσφερόμενων ακινήτων για μακροχρόνιες μισθώσεις και κατά συνέπεια πιέζει τις τιμές των ενοικίων προς τα πάνω.
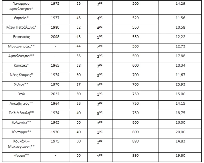
Τα ακόλουθα παραδείγματα όσον αφορά στις ζητούμενες τιμές ενοικίασης μικρών επιπλωμένων διαμερισμάτων, είναι απολύτως ενδεικτικά των συνθηκών που επικρατούν στην αγορά:

Διαμερίσματα άνω του 1ου ορόφου πλήρως επιπλωμένα με το σύνολο των οικοσυσκευών.
* Μερικώς ανακαινισμένο, ** Πλήρως ανακαινισμένο.

Διαμερίσματα άνω του 1ου ορόφου πλήρως επιπλωμένα με το σύνολο των οικοσυσκευών.
* Μερικώς ανακαινισμένο, ** Πλήρως ανακαινισμένο.
Η έρευνα του Πανελλαδικού Δικτύου E-Real Estates αναδεικνύει και μια ακόμη παράμετρο: όταν ολοκληρώνονται μεγάλα έργα σε συγκεκριμένες περιοχές, ανεβαίνουν ακόμη περισσότερο τα ενοίκια ειδικά όταν μιλάμε για σταθμούς μετρό.
Χαρακτηριστικό παράδειγμα, ο Πειραιάς. Οι αυξήσεις που καταγράφονται είναι ραγδαίες. Σύμφωνα με το Δίκτυο, στη περιοχή Αγία Σοφία κατοικία 30τμ-40τμ είχε ζητούμενο μίσθωμα 250€/μήνα, πλέον, επιπλωμένο διαμέρισμα 30τμ-40τμ στην ίδια περιοχή έχει ζητούμενο μίσθωμα 500€/μήνα..
Παρόμοια και η εικόνα σε μικρότερα διαμερίσματα 30τ.μ.-40 τ.μ. όπου στο κέντρο του Πειραιά, η ζητούμενη τιμή μίσθωσης το 2020 ήταν 240€/μήνα, πλέον διαμορφώνεται στα 390€/μήνα.

Οι επόμενες εβδομάδες θα είναι οι χειρότερες για να βρει κάποιος διαμέρισμα καθώς η ζήτηση βρίσκεται στην κορύφωσή της. Και οι φοιτητές εξακολουθούν να ψάχνουν για στέγη και τα ακίνητα για βραχυχρόνιες μισθώσεις είναι… κατειλημμένα λόγω τουρισμού.
Καλύτερη διαπραγματευτική ικανότητα θα έχουν οι ενδιαφερόμενοι ενοικιαστές από το τέλος Σεπτεμβρίου και μετά.
Οι πιο πρόσφατες Ειδήσεις
Διαβάστε πρώτοι τις Ειδήσεις για ό,τι συμβαίνει τώρα στην Ελλάδα και τον Κόσμο στο thetoc.gr